▶Tesile strength test/ Elongation/ Stress-Strain Diagram/ Yielding stress/ Elastic modulus/ True stress/ True strain/ Offset yield stress (인장강도시험/ 연신률/ 응력-변형률 선도/ 항복응력/ 탄성계수/ 진응력/ 진변형률/ 오프셋 항복응력)
-Tesile strength test(인장강도시험)
Load-Deformation behavior shall be defined for designing a structure product like plant or buliding because engineer shall design the structure as stronger as it could endure a outer load.
플랜트나 빌딩등을 설계하는 엔지니어는 외력을 견딜 수 있는 구조 재료를 사용하여 설계를 한다. 그렇다면 외력을 견딜 수 있는 구조재료는 어떻게 확인할 수 있을까? 즉 구조설계단계 전 재료의 하중-변형 거동이 먼저 정의되어함을 뜻한다.
In engineer field, it called 'material property' or 'mechanical property' and this can be induced from 'tensile strength test' and 'compression strength test'. Most common test for material property is tensile strength test with tension bar specimen. In the bar, there are two point to measuring the 'Gauge length'. It is for measuring the length change and the 'Elongation' is can be induced like below figure.
공학분야에서 이런 하중-변형 거동을 보통 재료물성치 또는 재료의 기계적 성질이라고 말한다. 이러한 재료의 물성치는 인장강도시험이나 압축강도시험을 통해 정의할 수 있다. 그중 인장강도시험이 재료의 물성치를 찾기 위한 흔한 방법이며 시험 시편은 다양한 시편이 있지만 여기서는 텐션 바(인장 막대)를 예로 든다. 시편에는 변형거리를 측정하기 위해 표점거리(gauge length)를 주기하며 시험 전의 거리와 시험 후의 거리를 측정함으로써 연신량을 알 수 있다. 아래 그림은 인장막대의 시험 전, 시험 후 의 예로 표점거리의 변화량을 보여준다.

The test is simple. The test is pulling each end of tension bar with same force or pulling one end of tension bar with fixing the other end.
시험은 생각보다 간단하다. (공학분야에서는 머릿속으로 생각하면 간단한데, 막상 그 간단한걸 시험해 보면, 그리 간단하지 않다) 양쪽을 같은 힘으로 당기거나 또는 한쪽 끝을 고정해 두고 다른 한쪽을 당기면 된다.
Note) Strain is related to the time imposed the force. For the static test the load for tensile strength test is applied to the tension bar slowly and gradually. In case of dynamic test like impact with fast speed for the 'dynamic material property', the strain measuring shall be repeated in the each speed. If you have a interest to this, just search 'strain rate' in the google.
주) 변형률은 작용하중의 시간에 관계가 있다. 이 페이지에서 설명하는 인장강도를 알아보기 위한 정적시험에서는 인장막대에 작용하는 하중을 아주 천천히 부과한다. 그러나 충돌사고의 재현이나 충격과 같은 동적 물성치를 찾기 위한 동적시험에서는 하중의 속도별로 각각의 변형률을 찾아야 한다. 이것을 strain rate라고 하며, 궁금하면 구글에서 검색해 보시길.
-Stress Strain Diagram (SSD/ 응력-변형률 선도)
The result of tensile strength test can be representing as 'Stress-Strain Diagram' (SSD). In the diagram, the x axis is a strain and the y axis is a stress. The curve shows specific stresses matching to the specific strains and vice versa. Below figure shows the SSD.
인장강도시험의 결과는 응력-변형률 선도 (이하SSD)로 표현할 수 있다. 이 선도에서는 X축은 변형률을 나타내고 Y축은 응력을 나타낸다. 본 선도에서는 특정 변형률에서 특정 응력이 발생한다고 판단하면 되고, 그 반대로 특정 응력에서 특정 변형률이 발생한다고 볼 수 도 있다. 여기서 응력은 재료의 강도로 생각할 수 있으며, 따라서 인장강도시험을 통해 재료에 내재된 강도와 변형거동을 알 수 있는 것이다.

The X-axis scale of the diagram above has been enlarged and displayed to represent the elastic & plastic area more detail.
재료역학에서는 재료의 아주 작은 변형에서 재표가 파괴될 때까지의 변형량을 다루므로 Figure.2의 X축과 같이 strain 축을 확대하여 표현한다. 이러한 확대된 그래프는 재료의 변형거동을 표현하기에 적합하지만 실제의 그래프와 상이하므로 구글에서 반드시 재료의 실제 SSD커브를 검색해 보자.
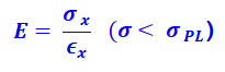
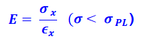
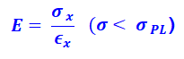
When the load is imposed on the tension bar, the relationship of stress and strain is a linear under the Elastic area. The maximum stress within a elastic area is called 'Proportional Limit' (sigma PL). The gradient of diagram under this area means the 'Elastic Modulus' (stress / strain). In case of removal the load on the tension bar within elastic area, the strain is decreased and to be zero as it was.

인장시편에 하중이 부과될때, 응력과 변형률이 서로 선형관계를 보이는 구간이 처음 나타난다. 이 구간을 탄성영역이라고 말한다. 탄성영역이 보장되는 한도를 비례한도라고 말하며 Figure.2에서 Elastic구간이 해당된다. Figure.2의 Y축 Sigma-PL은 탄성영역 내의 가장 큰 응력이므로 비례한도라고 할 수 있다. 이 구간은 선형이므로 기울기가 일정하고, 이 기울기를 탄성계수라고 말한다. 이 구간의 특징은 하중에 제거되면 원래의 변형률과 응력이 다시 0으로 돌아온다는 것이다.
If the strain is increases continuously, the material start to deform permanently and linear relationship is effect anymore. As the meaning that the material starts to deform permanently, this area is called 'Yielding area' or 'Plastic area'. Through the 'Upper Yield Stress' (sigma YU) and 'Lower Yield Stress' (sigma YL), the strain continuously increases.
탄성구간 이후로 변형률이 지속적으로 증가하면 재료는 영구적으로 변형되기 시작하고 탄성영역에서의 선형관계는 더 이상 유효하지 않다. 재료가 영구적으로 변형이 시작된다는 의미로 항복구간, 소성구간이라고 말한다. 이 구간에서는 재료가 영구변형을 하기 전인 상항복점까지 영구 변형을 참다가 변형이 본격적으로 시작되는 하항복점에서 지속적으로 변형이 시작된다.
After elastic & yielding area, strain hardening occurs to the material. The feature of this area is that the stress is increased if the strain is increased. This relation is not a linear. The maximum stress within strain hardening area is 'Ultimate strength' (sigma U).
탄성구간과 항복구간을 지나면 재료는 변형 경화가 시작된다. 이 구간의 특징은, 탄성구간과 유사하게 변형률이 증가하면 응력 또한 함께 증가하지만 두 관계가 비선형이다. 이러한 변형경화는 인장강도 (ultimate strength)까지 지속된다. 또한 탄성구간과 달리 한번 변형된 재료는 하중이 제거되더라도 원상태로 복구되지 않는다.
Note) Even though the relation is not a linear within strain hardening, many engineer approximate the relationship of stress-strain in strain hardening because the approximated strength (stress) is lower than real strength in this area.
주) 변형경화구간에서 응력과 변형률의 비선형관계는, 실제 값보다 작은 근사치로 수정하여 사용한다.
After the strain hardening (after ultimate strength), the strength is decreases because the section area is diminished. This phenomenon is known as 'Necking'. As the length change of tension bar, the section area is diminished, and the bar is fractured. Here the stress that the fracture happened is 'Fracture' (sigma F).
변형경화 후에는 재료의 인장하중 방향의 변형량이 증가하여 단면적이 감소하며, 따라서 강도가 감소하는데, 이를 Necking 이라고 부른다. 이 과정에서 재료는 파단되며 이때의 강도를 Fracuture라고 한다.
- True stress, True strain (진응력, 진변형률)
True stress is the ratio of load and minimum section area of test specimen at specific moment while a test proceed. As you know, while the test, the section area is diminished and be fractured. The true stress is a value calculated with changed section area.
인장 시험 중 특정순간에서의 최소 단면적을 이용하여 응력을 계산한 값을 진응력이라고 한다. 인장시험을 하면 보통 단면적이 줄어들게 되는데, 이 과정의 특정 시점에서 줄어든 순간단면적을 이용하며 응력을 구한 값이다.

With same concept, true strain is the ratio of length change and the length of specimen at specific moment while a test proceed.
진응력과 같은 개념으로 진 변형률이 있다. 인장 시험의 특정 순간에서 길이 변화량과 그 시점의 길이에 대한 비로 길이 변화율을 구한값이다.

- Offset Yielding Stress (오프셋 항복응력)
The SSD introduced above is showing the mechanical characteristics apparently. Unfortunately most materials in the earth is not similar to the SSD. I mean that there are materials not show the yielding point like pure aluminum. In case of this 'Offset Yielding Stress' is introduced. This stress is defined as intersection point between original SSD and linear line that offset 0.002 (0.2% offset) of elastic curve of SSD. The figure.6 shows the offset yielding stress.
위에서 소개한 SSD는 기계적 성질을 뚜렷하게 보여준다. 즉 항복점이 뚜렷하다는 의미다. 하지만 지구상 대부분의 재료가 항복점을 뚜렷하게 나타내진 않는다. 실제로 알루미늄 인장시편으로 인장강도 시험을 하면 상/하 항복점이 나타나지 않는다. 이러한 재료의 항복점을 나타내기 위해 오프셋 항복응력을 사용한다. 오프셋 항복응력은 재료의 탄성구간에 존재하는 응력-변형률 선도를 변형률 축으로 0.2% (0.002) 오프셋 시켜 가상의 커브를 만들고, 이 커브와 SSD의 교차점을 항복응력으로 결정하는 것이다.

'[Material Dynamics] 재료역학' 카테고리의 다른 글
| 경사면에 작용하는 응력/Stress on an inclined plane (0) | 2023.02.27 |
|---|---|
| Strength/ Stiffness/ Ductility/ Brittleness (강도/ 강성/ 연성/ 취성) (0) | 2023.02.05 |
| Saint-Venant Principle (생-배낭 원리) (0) | 2023.01.29 |
| Stress/Strain/Hooke's law/Poisson's ratio(응력/변형률/후크의 법칙/푸아송비) (0) | 2023.01.25 |
| Load definition for beam elements (빔 요소의 하중 정의) (0) | 2023.01.24 |