▶평면응력 (Plane stress)
평면응력이란 물체에 2차원 방향의 응력성분만 존재하는 경우를 말한다. 단순하게 생각하기 위해 정사각형의 A4용지를 생각해 보자. 이 A4용지의 각 4개의 면에 인장, 압축, 전단응력이 존재하는 것이다. 2차원이므로 두께방향의 응력은 존재하지 않는다고 가정한다. 이러한 상태를 평면응력상태에 있다고 표현한다.

이런 상태는 박판으로 이루어진 구조체를 평가하는데 효과적이다. 선박이나 건축물, 자동차에 사용되는 얇은 박판은 하중방향에 평행하도록 부재가 설계된다. 박판의 두께방향에 하중이 작용하는 경우 하중작용점에서 박판에 수직 하게 박판보강재를 설계하여 하중을 견딜 수 있게 설계한다. 이를 Figure.2에 도시한다. 여기서 Stiffener가 수직 한 보강부재다.

▶응력과 변형률의 관계 (Relation of stress and strain)
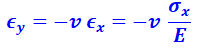
평면응력 상태에서의 응력, 변형률 관계를 파악하기 위해 일축응력상태에서의 응력과 변형률의 관계, 그리고 종변형률과 횡변형률의 관계를 이용한다. 아래 수식은 일축응력상태에서의 응력과 변형률의 관계이고, 횡 변형률과 종 변형률의 관계이다. 또한 재료가 등방성(Isotropic)이고 항복응력 내의 탄성영역에 존재할 때를 가정한다. 왜냐하면 재료 내의 방향에 따라 재료의 물성치가 균일해야 하기 때문이다.


위 식을 평면응력 상태에 적용하기 위해 각 방향의 변형률을 계산하여 합한다. 즉 x방향 변형률을 구하기 위해서 x방향 응력에 의한 변형률과 y방향 응력에 의한 변형률을 더한다. x방향 응력에 의한 변형률은 일축응력상태에서 유도된 Figure.3 의 응력-변형률 관계를 이용하여 계산한다. y방향 응력에 의한 x방향 변형률은 figure.4에서 유도된 종변형률-횡변형률의 관계식을 이용한다. 이렇게 계산된 두 값을 더하면 x방향의 변형률을 구할 수 있고 y방향의 변형률도 같은 원리로 y방향 응력에 의한 변형률과 x방향 응력에 의한 변형률을 더하면 구할 수 있다.

▶탄성계수와 전단계수의 관계 (Relation of 'Elastic Modulus' and 'Shear Modulus')
탄성계수 E는 재료의 탄성영역내에서 응력과 변형률의 관계를 정의한다. 그리고 전단계수 G는 재료의 탄성영역 내에서 전단응력과 전단변형률의 관계를 정의한다. 재료역학이나 기계기사수험서를 보면 평면응력상태에서의 탄성계수와 전단계수의 관계를 다음과 같이 정의하고 있다.

위 관계식을 증명하기 위해서는 힘의 평형과 수학적 방법이 요구되는데, 나의 학생시절에 참고한 서적(MECHANICS OF MATERIALS - Roy. R. Craig, Jr.)의 자료를 소개한다.
1. Figure.7과 같이 순수전단상태에 있는 정사각 요소의 45도 경사면이 갖는 응력을 고려한다.

2. 힘의 평형 관계식을 이용하기 위해 Figure.8 과 같은 회전된 요소의 자유물체도를 고려한다. 이때 힘의 평형 관계식은 다음과 같다. 이를 통해 n, t축방향의 수직응력을 도출할 수 있고 이는 순수전단상태의 전단응력과 동일한 값을 갖는다. 또한 회전된 요소에서의 전단응력은 0이다. 따라서 Figure.7에서 표현된 회전된 요소에서의 응력은 Figure.9와 같이 표현할 수 있다.


3. Figure.7 좌측 그림의 순수전단상태의 각변형률과 Figure.9 회전된 요소에서의 각 변형은 동일하다. 이를 Figure.10과 같이 나타낼 수 있는데, Figure.10의 d*값은 회전된 요소에서의 평면응력 신장변형률로 표현가능하다.

4. Figure.10의 대각선 변형길이 d*의 수학적인 접근을 해보자. 삼각형 ABC에 대해 코사인 법칙을 적용하면 Figure.11과 같다. (마지막 유도식에서 제급항과 sin항은 미소변형을 고려할 때 0과 각도로 각도로 대체된다.)

5. 마지막으로 Figure10, 11에서 유도된 식을 전단계수 G로 표현하면 관계식이 완성된다.
