▶3차원 응력성분 (3 Dimensional Stress Component)
재료에 작용하는 하중에 대해 특정 요소를 샘플링한 뒤 이를 3차원 응력성분으로 나타내면 다음과 같다.
학생시절 아래 3개의 성분에 대해 첨자가 너무 헷갈렸다. 엔지니어가 되고나서 자주 접하다 보니 익숙해 졌고 지금도 쉽지않다. 첨자에 대한 설명을 하자면 이렇다.
- 수직응력은 좌표축 방향에 따라 x, y, z의 첨자로 나타낸다.
- 전단응력은 첨자 2개로 표기한다. 첫번째 첨자는 전단응력이 작용하는 면의 정보를 나타낸다. 두번째 첨자는 전단응력이 작용하는 좌표축 방향을 타나낸다. 예를들자면 tau_xy 는 x축 좌표계에 직교하는 면을 나타내고 y는 해당 면에서 y좌표축과 평행하는 전단응력 성분이다.

왜하는 지는 모르겠지만, 공부했던 자료에는 꼭 샘플링된 요소내에서 작용하는 전단응력 성분은 방향만 다르고 모두 같다고 배우고 그걸 꼭 증명하더라. 그리고 내가 업무를 해봐도 딱 그정도만 알면 됬다. 그런데 학생시절이던, 먹고살려고 일을 하던 개인적으로 꼭 쓸데없는 것까지 알려고 하는게 문제다. 3차원 응력성분에서 전단응력의 크기가 동일함을 증명하기 위한 방법은 모멘트의 평형을 이용하는 것이다. 아무 축이나 기준을 정하고 그 축에 대한 샘플링요소 응력성분의 하중들이 유발하는 모멘트들의 합이 0임을 통해 증명한다. 그러나 학생시절, 아무리 식을 다시 봐도 이게 이렇다고? 이렇게 가정을 많이 한다고? 이게 말이 되나? 라는 의문만 남았을 뿐이다. "Roy. R. Craig. Jr MECHANICS OF MATERIALS에 소개된 증명방법을 소개한다.

위 그림 2에서 z축을 기점으로 모멘트 평행식을 사용할 것이다. 위 그림2는 z축에 작용하는 하중성분을 모두 표현한 것이다. 첨자 +는 원점기준 △x, △y, △z 만큼 이동한 면에 작용하는 하중들을 표현한 것이다. 그리고 이 포스트를 열어보는 분들은 모멘트가 뭔진 알거라고 생각하고 계속 적어보면...
1. 수직하중에 의해 발생하는 Z축 모멘트를 구해보면 다음과 같다.

그리고 △x가 아주 미소하므로 다음의 식이 성립한단다 (????)

그래서 위 x방향 수직응력 성분에 대한 모멘트 평형식을 정리하면 다음과 같단다.

2. 그 다음 xy, yx전단응력 성분에 의해 유도되는 하중에 의해 유도되는 z축 모멘트를 구해보면 다음과 같다.

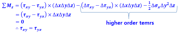
3. 그 다음 1, 2에서 구한걸 모두 더하여 모멘트 z성분의 합을 나타내면 다음과 같다. 여기서 모멘트 평형을 고려하면 z성분 모멘트는 0이 되고 결국 xy, yx 전단응력은 크기가 같음을 알 수 있다. 이 식은 가정이 들어가는데, △성분의 4차항은 고차항으로 고려하고 △성분이 0에 수렴할때 4차항은 모두 동시에 0에 수렴한다고 가정한다. 그래서 △성분의 4차항은 0으로 고려한다. 그럼 △성분의 3차항만 남는다.

4. 근데 나와 같이 집요한 성격이라면 이런 생각을 할 수 있다. z축 모멘트 성분에 전단응력 성분이 x, y만 존재하는게 아닌데 왜 그것만 보는겨? Figure.2 처럼 zy, yz, zx, xz 성분도 있잖아? 나도 아직 답을 내긴 어렵지만 아마도 평면응력을 고려하면 될것 같다. 무슨말이냐면, 각변형과 신장변형률을 동일한 평면에서 유발하는 성분만 따로 봐야 하는 것이다. 아래 그림으로 이해해 보자.

5. 최종적으로 x, y축에 대한 모멘트 평형을 고려하여 식을 정리하면 최종적으로 다음과 같다.

▶3차원 응력성분 후크의 법칙 (Hooke's law of 3 Dimensional Stress Component)
이전 포스트에서 2차원 평면응력에서의 후크법칙을 설명했고 이제 3차원으로 나아가 보자.
https://freeengineer.tistory.com/18
평면응력/탄성계수와 전단계수의 관계/평면응력의 후크의법칙/Plane stress/Relation of elastic modulus and
▶평면응력 (Plane stress) 평면응력이란 물체에 2차원 방향의 응력성분만 존재하는 경우를 말한다. 단순하게 생각하기 위해 정사각형의 A4용지를 생각해 보자. 이 A4용지의 각 4개의 면에 인장, 압축
freeengineer.tistory.com
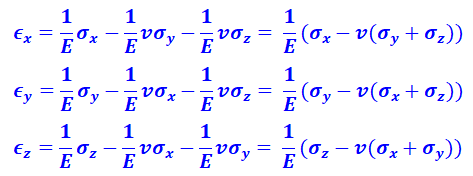
평면응력에서 한것처럼 방향에 따라 생각해 주면 된다. 즉 x방향의 변형은 x방향 수직응력에 의한 x방향 신장변형률과 y, z방향 수직응력에 의해 x방향의 신장변형률을 합하면 된다. y방향의 변형의 경우 y방향 수직응력에 의한 y방향 신장변형률과 x, z방향 수직응력에 의해 y방향의 신장변형률을 합하면 된다. z방향도 같은 원리다. 전단응력과 전단변형률도 전단계수의 관계로 구할 수 있다.



위 Figure.4를 각방향 응력에 관해 정리하면 다음과 같다.

▶팽창률, 체적변형률 (Volumetric strain)
이건 다룰까 말까 고민을 많이 했다. 가끔 기계기사 수험서를 보면 공식으로만 계산하곤 하더라. 깊게 공부하는 누군가가 대체 그 수식이 어떻게 나온걸까 궁금해할까봐 걱정되서 정리해본다.
위에서 각 방향의 신장변형률, 각변형률만 고려했는데, 샘플링된 요소는 다양한 하중을 받기 때문에 수직응력들에 의해 체적이 변한다. (각 변형률은 체적에 영향을 미치지 않는다.) 그렇다면 체적변형률은 어떻게 구할까?
아래와 같이 각변 길이가 lx, ly, lz인 사각요소가 l*x, l*y, l*z로 체적변화가 생겼다고 해보자.

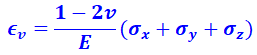
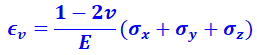
1. 변형률의 정의대로 기존값을 분모에 두고 변화량을 분자에 두면된다. 이에 충실해서 다음식이 체적변형률의 수식이다.

2. 각 변의 변형된 길이 l*x, l*y, l*z는Figure.7과 같이 나타낼 수 있고 위 식 체적변형률에 대입하면 다음과 같이 정리할 수 있다. 여기서 변형률의 2차항은 고차항으로 판단해서 0으로 무시한다.


3. 그 다음 2에서 나온 수식은 위 Figure.4에서 나타낸 3차원 성분의 후크의 법칙에서 사용한 공식을 넣어 정리하면 다음의 수식으로 응력성분에 대한 값으로 표현할 수 있다.

'[Material Dynamics] 재료역학' 카테고리의 다른 글
| 주응력 (Principal stress) (0) | 2023.04.04 |
|---|---|
| 평면응력의 응력변환 (0) | 2023.04.04 |
| 평면응력/탄성계수와 전단계수의 관계/평면응력의 후크의법칙/Plane stress/Relation of elastic modulus and she (0) | 2023.03.02 |
| 경사면에 작용하는 응력/Stress on an inclined plane (0) | 2023.02.27 |
| Strength/ Stiffness/ Ductility/ Brittleness (강도/ 강성/ 연성/ 취성) (0) | 2023.02.05 |