▶모어원 Mohr circle
모어원을 알기 위해 아래 포스팅에서 다룬 주응력 개념을 먼저 확인하고 가자
모어원은 축의 각도변화에 따른 수직응력과 전단응력을 표현하는 원으로 결과적으로 주응력과 최대 전단응력을 구하기 위한 도식적인 방법이다.
사실 엔지니어 업무를 하며 모어원을 직접 그려서 업무를 한 적은 한번도 없다. 아마도 유한요소프로그램에서 저절로 모어원의 공식을 이용하여 주응력을 구하고 최대 전단응력을 구하지 않았을까?
https://freeengineer.tistory.com/22
주응력 (Principal stress)
지난 포스팅에 이어 주응력에 대해 정리해보자. https://freeengineer.tistory.com/21 평면응력의 응력변환 ▶평면응력 Plane Stress 평면응력은 지난번에 설명했듯이...아래와 같다. https://freeengineer.tistory.com/
freeengineer.tistory.com
본론으로 들어가서, 위의 포스팅에서 설명한 아래의 수식을 이용할 것이다.

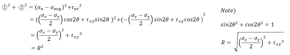
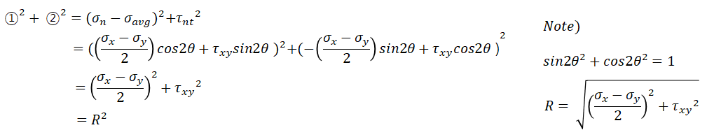
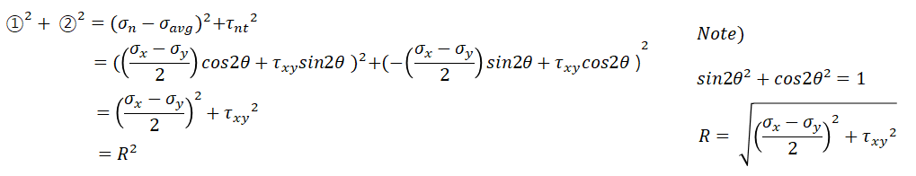
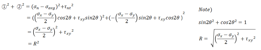
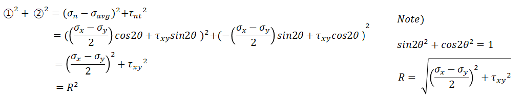
Figure1의 1번, 2번 수식을 아래와 같이 정리하고 제곱을 한다.

그리고 제곱한 두 시식을 더하면 다음과 같다.

위 수식의 결론은 아래와 같이 sigma-n을 x축으로 하고 tau-nt를 y축으로하는 원의 방정식이다. 이 방정식은 중심이 (sigma_avg, 0)에 위치하고 반지름이 R이다.

그럼 이걸 도식화하면 아래와 같다.

위 식에서 P1, P2, S1, S2는 각각 두 면의 주응력과 두 최대전단응력을 말한다. 이는 아래의 수식과 같이 도식적인 방법을 통해 알 수 있다. 즉 주응력은 원의 방정식이 x축과 교차점에 발생하고 최대전단응력은 원의 방정식의 최대, 최소값이다.

몸멈뭠 끝!
'[Material Dynamics] 재료역학' 카테고리의 다른 글
| 주응력 (Principal stress) (0) | 2023.04.04 |
|---|---|
| 평면응력의 응력변환 (0) | 2023.04.04 |
| 3차원 응력성분/3차원 후크의 법칙 (0) | 2023.03.12 |
| 평면응력/탄성계수와 전단계수의 관계/평면응력의 후크의법칙/Plane stress/Relation of elastic modulus and she (0) | 2023.03.02 |
| 경사면에 작용하는 응력/Stress on an inclined plane (0) | 2023.02.27 |